1. Lesson 3

1.6. Explore 2

Mathematics 30-1 Module 2

Module 2: Radical Functions

 

In Try This 2 you graphed the function  and determined the x-intercept and root of the equation  . You should have found that x = 8 is the x-intercept of the graph because the value of the function is 0 when x = 8. This means the roots to a radical equation are equal to the x-intercepts of the graph of the corresponding radical function.

 

Self-Check 1


textbook

Complete “Your Turn” at the end of “Example 1” on page 91 of the textbook. Answers




In Try This 3 a different graphical method will be used to solve a radical equation. Then the solution will be compared to the algebraic method of solving the radical equation.

 

Try This 3
  1. Solve the equation  graphically. Graph each side of the equation as a separate function.
  2. Determine the x-value at the point(s) where y1 = y2. Make sure to round your answer to the nearest hundredth.
  3. Following is the algebraic solution. What are the similarities and differences between the solutions to the graphical method and the algebraic method?

     


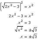
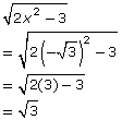
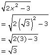
    Check for extraneous roots. Substitute  and  into the original equation.

     
    LS RS

    x

     

        
    LS RS

    x

     

                LS ≠ RS               LS = RS


    The solution is  , or x ≈ 1.73.

course folder Save your responses in your course folder.

Determine the value of x at the point(s) of intersection of the two functions.