Lesson 3
1. Lesson 3
1.13. Explore 9
Module 5: Rational Expressions
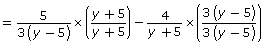
In Try This 6 you learned that there are times when you need to factor the rational expression before determining the LCD. Look at another example.
Simplify. |
|
The first step is to always state the non-permissible value.
You will need to factor in order to find the values of y that will restrict the expression.
Therefore, the restrictions are y ≠ 0, 5, −5. |
|
Next, find the LCD.
Simplify the first expression by cancelling the 1 of
The LCD equals 3(y − 5)(y + 5). |
|
Multiply each expression by a fraction that is equal to 1 so each ends up with the denominator 3(y − 5)(y + 5). |
|
Now each denominator is the same. Simplify. |
|
Subtract the numerators. |
|
Make sure to include the restrictions from the original expressions. |
|
To see another example of factoring, read “Example 4” on pages 247 and 248 of your textbook. Notice when factoring is used to help add the rational expressions.
Try This 7
Complete Adding Rationals. This example is similar to “Example 4” that you just read in the textbook. After you complete the multimedia piece, answer the questions that follow.
- Why was the denominator of the first rational expression factored before a common denominator was determined?
- Why was it necessary to factor the numerator when trying to simplify

- Why is −1 included as a non-permissible value for the final expression
when −1 does not make the denominator zero?
Save your work in your course folder.
Self-Check 3
![]()
- Complete questions 1.d., 5.a., 5.b., 7, 8, and 9 on pages 249 and 250 of the textbook. Answers

