1. Lesson 4

1.7. Explore 3

Mathematics 30-2 Module 5

Module 5: Rational Expressions

 

Try This 2 and Try This 3 focused on the steps involved in solving rational equations.

 

Step 1: Determine any non-permissible values.

 

Step 2: Multiply both sides of the equation by the LCD.

 

Step 3: Eliminate common factors.

 

Step 4: Solve the simplified equation.

 

Step 5: Check if the solutions are extraneous.

 

To confirm that you understand the process of solving simple rational equations, review the solution for

 

Step

Your Work

Step 1: Determine the non-permissible values.

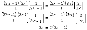
Step 2: Determine the LCD.

LCD = (2x − 1)(3x)

Step 3: Multiply by the LCD.

Step 4: Simplify and solve the linear equation.

Step 5: Check your solutions to see if they are extraneous.

 

Step 1 indicates that 2 is not a non‑permissible value.

 

Verify the solution by substituting 2 into the original equation and solving for each side.

 

Since the LS = RS, the solution x = 2 is correct.

 

Self-Check 1

 

Complete Solving Rational Equations Self-Check.

 

 

This is a play button for Solving Rational Equations Self-Check.

Remember that an extraneous solution is a non-permissible solution to the original rational equation.
What is the resulting equation when the LCD is applied to each term of the expression, including the term on the right side of the equation?
What binomial factors are required in the LCD?
How does factoring help you to identify the non-permissible values?